Casi todo, Sobre la Licencia " F" Nuevos Formularios 2.014
- marchoso
- 375 HH Magnum

- Mensajes: 6135
- Registrado: 27 Dic 2008 10:01
- Ubicación: Al Andalus
- Contactar:
- Estado: Desconectado
Casi todo, Sobre la Licencia " F" Nuevos Formularios 2.012
¿Cómo sacarse la licencia F ?
Guía paso a paso para la obtención de la licencia de armas tipo F, para el uso y manejo de armas deportivas, tanto cortas como largas.
En primer lugar, responderemos a unas preguntas:
¿Qué es la licencia F?
La licencia F es para los federados, el uso y disfrute de las Armas cortas y Armas Largas, tendrá un único fin: el tiro deportivo
¿Cuánto dura?
La vigencia es de 3 años, pasados los cuales, hay que renovarla
¿Cuántas armas puedo amparar ?
Eso lo dice la categoría de tirador que seas, dividiéndose estas en Tres:
1ª Categoría: 10 Armas
2ª Categoría: 6 Armas
3ª Categoría: 1 Arma
Se establecen en atención a las edades y sexo de los participantes las diferentes categorías:
• Benjamines, masculinos y femeninos, con edades comprendidas entre los 9 y 10 años.
• Alevines, masculinos y femeninos, con edades comprendidas entre los 11 y 12 años.
• Infantiles, masculinos y femeninos, con edades comprendidas entre los 13 y 14 años.
• Cadetes, masculinos y femeninos, con edades comprendidas entre los 15 y 16 años.
• Juveniles, masculinos y femeninos, con edades comprendidas entre los 17 y 18 años.
• Junior, masculinos y femeninos, con edades comprendidas entre los 19 y los 20 años.
• Sénior, hombres, a partir de los veintiún años de edad.
• Damas, mujeres a partir de los veintiún años de edad.
• Veteranos, masculinos y femeninos, A partir del 1 de enero del año en el que cumplen los 55 años.
• Veteranos Sénior, masculinos y femeninos, A partir del 1 de enero del año en el que cumplen los 64 años.
• Veteranos Masters, masculinos y femeninos, A partir del 1 de enero del año en el que cumplen los 72 años
¿Tengo que tener actividad deportiva?
Si, pues se supone que para eso tienes la licencia deportiva F, si no te la retiraran.
Obligación de que los socios realicen durante el año natural actividades deportivas (Artículo 138.2 del Reglamento de Armas).
Tienes que demostrar actividad, y esto es obligatorio, yendo la obligación en consecuencia con la categoría de tirador:
. Tercera categoría: hay que tirar al menos una vez al año en cualquier competición, incluidas las tiradas sociales de los clubes, siempre que haya constancia de tal competición en la federación.
• Segunda categoría implica competir al menos una vez al año en una competición de rango autonómico y obtener la puntuación exigida para ascender a esa categoría al menos una vez en los tres años de vigencia de la Licencia de Armas.
• Primera categoría como para segunda pero en competiciones de categoría nacional y alcanzando la puntuación mínima al menos una vez en los tres años.
El certificado corresponde a la RFEDETO expenderlo.
¿Cómo puedo solicitarla?
En primer lugar deberás acercarte o bien al cuartel de la Guardia Civil, o bien a la Intervención de Armas más cercana, en los dos sitios te darán los formularios y los papeles necesarios para que la solicites.
Lo que necesitaras, aunque te lo dirán allí, es lo siguiente:
• 2 fotocopias del DNI en vigor y sin recortar.
• Instancia modelo I-39.
• Armero Homologado nivel III con factura a nombre del solicitante y certificado de Homologación.
• Certificado de Antecedentes Penales. Esto lo puedes solicitar a través de la Guardia Civil.
• Certificado de Aptitudes Psicofísicas expedido por un centro Médico Oficial.
. Busca el centro médico más cercano a tu domicilio y allí te lo harán.
• Certificado de la Federación de tiro de tu comunidad autónoma acreditando la habilitación deportiva. Generalmente, tienes que asistir a un curso teórico/ practico, donde al acabarlo, se realiza un examen con un arma corta, a la distancia de 25 metros, donde tienes que obtener la puntuación mínima, y esta es de 50 puntos sobre 100.
• Licencia de Armas anterior en el caso de renovaciones. Esto es solo para renovaciones.
• Justificante del ingreso de las tasas de la Guardia Civil. Cuando solicites las licencias, te darán un formulario, en concreto el Modelo 790, donde tendrás que poner los datos tuyos y ellos te marcaran el concepto de la tasa, entonces con ese papel vas al banco o caja más cercana y lo pagas, asegúrate de que te lo sellen o lo validen mecánicamente.
• Tener la Licencia Federativa de tu comunidad autónoma. Se consigue en la Federación Autonómica de donde seas.
• Estar Federado en un club de tiro.
. En el que quieras, pero ser socio de uno, pudiendo ser de varios también.
• Mantener la actividad deportiva anual.
¿PUEDO CEDER MI ARMA?, ¿A QUIEN?
Tanto los españoles como los extranjeros residentes en España podrán prestar o ceder temporalmente sus armas en las siguientes condiciones:
Españoles y extranjeros residentes en España (Artículo 129 del Reglamento de Armas).
a) Las armas de caza a quienes estén provistos de licencia D o E y licencia de caza.
b) Las armas de concurso para la práctica de tiro deportivo a quienes sean titulares de la
licencia F correspondiente y estén deportivamente habilitados para su uso.
c) Las armas de aire comprimido a quienes estén en posesión de las preceptivas tarjetas de armas.
d) En todos los casos anteriores se necesitará además una autorización escrita, fechada y
firmada del titular de las armas para el uso de las mismas, durante un plazo máximo de 15 días y con conocimiento de la Intervención de Armas de la Guardia Civil del lugar de residencia del titular de las mismas.
e) Las armas se prestarán siempre con sus guías de pertenencia.
¿Cómo puedo ascender?
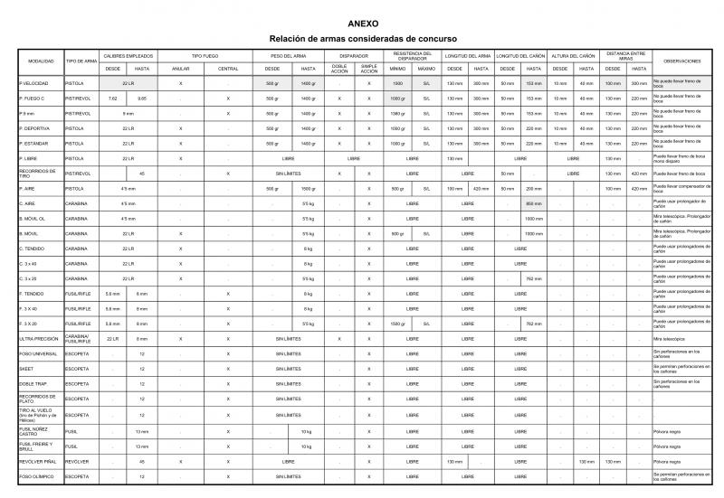
Asistiendo a una tirada de nivel autonómico y consiguiendo la puntuación mínima para ascenso a 2ª categoría de la modalidad que tú practiques. Estas tablas están en la federación de tu comunidad autónoma.
MARCAS MÍNIMAS PARA LA PARTICIPACIÓN EN COMPETICIONES OFICIALES
Competiciones Autonómicas Nacionales
Ver cuadro de puntuaciones anexo.
¿Cuánto cuesta?
Obtener la licencia F suele tiene algunos costes que dependen del estado y otros de las comunidades autónomas:
• Tasa para expedición de licencia: 14.10 €
• Renovar: 10.57 €
• Licencia de Federado: Depende de cada comunidad autónoma, pero suele rondar los 45 €
• Cuota anual de socio de un club: Aquí viene el sable, suele rondar los 150 euros, pero depende de cada club:
• Reconocimiento médico: Esto también depende de en cual te lo saques, pero 35 €
• Fotocopias, fotos: 3 €; (Fotocopias del DNI, y las fotos para el reconocimiento)
• Lo que te cuesten los viajes a la intervención de Armas, que no serán pocos.
¿Cómo renovar? Y ¿Qué necesito?.
• Instancia modelo I-39.
• 2 fotocopias del DNI en vigor y sin recortar.
• Certificado de antecedentes penales en vigor “Autorizar acceso a la GC”.
• Fotocopia del DNI en vigor, o, en su caso, de la tarjeta de autorización de residencia.
• Informe de aptitudes psicofísicas en centro médico concertado.
• Certificado expedido por la federación correspondiente acreditativo de su condición de socio, modalidad de tiro que practica y la categoría de tirador y puntuación obtenida.
• Tasas de renovación 10.57€.
• Nos expedirán un certificado provisional de tres meses.
Si por cualquier causa nos cumpliese, y no hubiese llegado la renovación no os preocupéis, pues no harán otro a su vencimiento.
Esperar un plazo de aproximadamente unos dos meses, y posteriormente llamar a I.A para que nos confirmen si se puede pasar a recoger la renovación.
Trasporte de armas:
¿ En Tren?.
12. VIAJE CON ARMAS
12.1. Se admitirán viajeros que porten armas en los trenes, únicamente cuando cumplan los siguientes requisitos:
a/ Que se trate en todo caso de armas reglamentadas, según su definición legal
b/ Que vayan desmontadas o dentro de sus cajas o fundas.
c/ Que vayan acompañadas de las correspondientes guías, licencias y demás documentación exigida legalmente.
12.2. Cuando se trate de personal de las Fuerzas Armadas, Fuerzas y Cuerpos de Seguridad, del Servicio de Vigilancia Aduanera o de trabajadores de empresas de seguridad que realicen funciones de custodia o vigilancia, bastara la exhibición de su guía de pertenencia y su Tarjeta de Identidad Militar o, en su caso, carne profesional.
12.3. Los viajeros portadores de armas deberán en todo momento actuar con la diligencia y precaución necesarias y comportarse de forma que no puedan causar peligro, alarma, danos o molestias a los demás viajeros o sus bienes.
¿En Avión?
Ver el cuadro anexo en formato PDF.
Cartuchería Metálica:
Real Decreto 563/2010, de 7 de mayo, por el que se aprueba el Reglamento de artículos pirotécnicos y cartuchería.
Artículo 136. Adquisición de cartuchería.
1. Los titulares de licencias para armas largas rayadas podrán adquirir únicamente hasta 1.000 cartuchos anuales por arma, presentando la guía de pertenencia. El vendedor realizará los asientos correspondientes en los libros de su establecimiento y dará cuenta inmediata de la compra a la Intervención de Armas y Explosivos territorial.
En ningún caso se podrá tener en depósito un número superior a 200 cartuchos.
2. Sólo podrán adquirirse 100 cartuchos anuales por arma corta, presentando la guía de pertenencia, y efectuando las operaciones que se aluden en el apartado anterior. El número de cartuchos que pueden tenerse en depósito para arma corta no será superior a 150.
¿Como pedir un aumento del cupo de cartuchería metálica?.
El personal en posesión de licencia F podrá adquirir para su consumo un número ilimitado de cartuchos siempre que lo haga en las propias instalaciones de las Federaciones y sin que pueda sacarlos del recinto de estas. Las Federaciones adoptarán las medidas de control adecuadas para evitar que dichos cartuchos puedan salir al exterior. La autorización tendrá una validez de un año y será expedida a los Clubes o Federaciones por la Intervención Central de Armas y Explosivos de la Dirección General de la Policía y la Guardia Civil. Requisito previo para la obtención del citado permiso será tener las medidas de seguridad para el almacenamiento de la cartuchería debidamente aprobadas por la Intervención Central de Armas y Explosivos.
e) Si el particular en posesión de licencias A, B, D o F, deseara adquirir mayor cantidad de cartuchos que los cupos establecidos anteriormente, ha de estar provisto de un permiso especial expedido por la Intervención de Armas y Explosivos de la correspondiente Zona de la Guardia Civil, solicitado por conducto de la Intervención territorial, cuya validez será de un año.
f) El número máximo de cartuchos que se puede autorizar a un particular en cada autorización no podrá superar la cantidad de 10.000 del calibre 22 y 5.000 en total del resto de los calibres. Una vez justificado el consumo podrán autorizarse nuevas cantidades.
4. Podrá adquirirse un número ilimitado de cartuchos de caza no metálicos. En ningún caso podrá tenerse en depósito un número superior a 5000 unidades de esta clase de cartuchos.
Tarjeta Europea de las Armas de Fuego:
Su posesión permite transportar las armas por los Estados de la Unión Europea y tiene
una validez de cinco años.
Los documentos necesarios para su obtención son los siguientes:
1. Instancia cumplimentada por el interesado.
2. Dos fotografías.
3. Fotocopia de la Licencia de Armas.
4. Fotocopias de las guías de pertenencia de todas aquellas armas que se quieran
incluir en la Tarjeta Europea.
5. Justificante de haber realizado el ingreso de la tasa legalmente establecida, a favor
del Tesoro Público, en las entidades bancarias o cajas de ahorro colaboradoras, en
la cuenta restringida de la Administración Tributaria.
Texto: MARCHOSO
Diplomado Superior en Balística y Armamento
Guía paso a paso para la obtención de la licencia de armas tipo F, para el uso y manejo de armas deportivas, tanto cortas como largas.
En primer lugar, responderemos a unas preguntas:
¿Qué es la licencia F?
La licencia F es para los federados, el uso y disfrute de las Armas cortas y Armas Largas, tendrá un único fin: el tiro deportivo
¿Cuánto dura?
La vigencia es de 3 años, pasados los cuales, hay que renovarla
¿Cuántas armas puedo amparar ?
Eso lo dice la categoría de tirador que seas, dividiéndose estas en Tres:
1ª Categoría: 10 Armas
2ª Categoría: 6 Armas
3ª Categoría: 1 Arma
Se establecen en atención a las edades y sexo de los participantes las diferentes categorías:
• Benjamines, masculinos y femeninos, con edades comprendidas entre los 9 y 10 años.
• Alevines, masculinos y femeninos, con edades comprendidas entre los 11 y 12 años.
• Infantiles, masculinos y femeninos, con edades comprendidas entre los 13 y 14 años.
• Cadetes, masculinos y femeninos, con edades comprendidas entre los 15 y 16 años.
• Juveniles, masculinos y femeninos, con edades comprendidas entre los 17 y 18 años.
• Junior, masculinos y femeninos, con edades comprendidas entre los 19 y los 20 años.
• Sénior, hombres, a partir de los veintiún años de edad.
• Damas, mujeres a partir de los veintiún años de edad.
• Veteranos, masculinos y femeninos, A partir del 1 de enero del año en el que cumplen los 55 años.
• Veteranos Sénior, masculinos y femeninos, A partir del 1 de enero del año en el que cumplen los 64 años.
• Veteranos Masters, masculinos y femeninos, A partir del 1 de enero del año en el que cumplen los 72 años
¿Tengo que tener actividad deportiva?
Si, pues se supone que para eso tienes la licencia deportiva F, si no te la retiraran.
Obligación de que los socios realicen durante el año natural actividades deportivas (Artículo 138.2 del Reglamento de Armas).
Tienes que demostrar actividad, y esto es obligatorio, yendo la obligación en consecuencia con la categoría de tirador:
. Tercera categoría: hay que tirar al menos una vez al año en cualquier competición, incluidas las tiradas sociales de los clubes, siempre que haya constancia de tal competición en la federación.
• Segunda categoría implica competir al menos una vez al año en una competición de rango autonómico y obtener la puntuación exigida para ascender a esa categoría al menos una vez en los tres años de vigencia de la Licencia de Armas.
• Primera categoría como para segunda pero en competiciones de categoría nacional y alcanzando la puntuación mínima al menos una vez en los tres años.
El certificado corresponde a la RFEDETO expenderlo.
¿Cómo puedo solicitarla?
En primer lugar deberás acercarte o bien al cuartel de la Guardia Civil, o bien a la Intervención de Armas más cercana, en los dos sitios te darán los formularios y los papeles necesarios para que la solicites.
Lo que necesitaras, aunque te lo dirán allí, es lo siguiente:
• 2 fotocopias del DNI en vigor y sin recortar.
• Instancia modelo I-39.
• Armero Homologado nivel III con factura a nombre del solicitante y certificado de Homologación.
• Certificado de Antecedentes Penales. Esto lo puedes solicitar a través de la Guardia Civil.
• Certificado de Aptitudes Psicofísicas expedido por un centro Médico Oficial.
. Busca el centro médico más cercano a tu domicilio y allí te lo harán.
• Certificado de la Federación de tiro de tu comunidad autónoma acreditando la habilitación deportiva. Generalmente, tienes que asistir a un curso teórico/ practico, donde al acabarlo, se realiza un examen con un arma corta, a la distancia de 25 metros, donde tienes que obtener la puntuación mínima, y esta es de 50 puntos sobre 100.
• Licencia de Armas anterior en el caso de renovaciones. Esto es solo para renovaciones.
• Justificante del ingreso de las tasas de la Guardia Civil. Cuando solicites las licencias, te darán un formulario, en concreto el Modelo 790, donde tendrás que poner los datos tuyos y ellos te marcaran el concepto de la tasa, entonces con ese papel vas al banco o caja más cercana y lo pagas, asegúrate de que te lo sellen o lo validen mecánicamente.
• Tener la Licencia Federativa de tu comunidad autónoma. Se consigue en la Federación Autonómica de donde seas.
• Estar Federado en un club de tiro.
. En el que quieras, pero ser socio de uno, pudiendo ser de varios también.
• Mantener la actividad deportiva anual.
¿PUEDO CEDER MI ARMA?, ¿A QUIEN?
Tanto los españoles como los extranjeros residentes en España podrán prestar o ceder temporalmente sus armas en las siguientes condiciones:
Españoles y extranjeros residentes en España (Artículo 129 del Reglamento de Armas).
a) Las armas de caza a quienes estén provistos de licencia D o E y licencia de caza.
b) Las armas de concurso para la práctica de tiro deportivo a quienes sean titulares de la
licencia F correspondiente y estén deportivamente habilitados para su uso.
c) Las armas de aire comprimido a quienes estén en posesión de las preceptivas tarjetas de armas.
d) En todos los casos anteriores se necesitará además una autorización escrita, fechada y
firmada del titular de las armas para el uso de las mismas, durante un plazo máximo de 15 días y con conocimiento de la Intervención de Armas de la Guardia Civil del lugar de residencia del titular de las mismas.
e) Las armas se prestarán siempre con sus guías de pertenencia.
¿Cómo puedo ascender?
Asistiendo a una tirada de nivel autonómico y consiguiendo la puntuación mínima para ascenso a 2ª categoría de la modalidad que tú practiques. Estas tablas están en la federación de tu comunidad autónoma.
MARCAS MÍNIMAS PARA LA PARTICIPACIÓN EN COMPETICIONES OFICIALES
Competiciones Autonómicas Nacionales
Ver cuadro de puntuaciones anexo.
¿Cuánto cuesta?
Obtener la licencia F suele tiene algunos costes que dependen del estado y otros de las comunidades autónomas:
• Tasa para expedición de licencia: 14.10 €
• Renovar: 10.57 €
• Licencia de Federado: Depende de cada comunidad autónoma, pero suele rondar los 45 €
• Cuota anual de socio de un club: Aquí viene el sable, suele rondar los 150 euros, pero depende de cada club:
• Reconocimiento médico: Esto también depende de en cual te lo saques, pero 35 €
• Fotocopias, fotos: 3 €; (Fotocopias del DNI, y las fotos para el reconocimiento)
• Lo que te cuesten los viajes a la intervención de Armas, que no serán pocos.
¿Cómo renovar? Y ¿Qué necesito?.
• Instancia modelo I-39.
• 2 fotocopias del DNI en vigor y sin recortar.
• Certificado de antecedentes penales en vigor “Autorizar acceso a la GC”.
• Fotocopia del DNI en vigor, o, en su caso, de la tarjeta de autorización de residencia.
• Informe de aptitudes psicofísicas en centro médico concertado.
• Certificado expedido por la federación correspondiente acreditativo de su condición de socio, modalidad de tiro que practica y la categoría de tirador y puntuación obtenida.
• Tasas de renovación 10.57€.
• Nos expedirán un certificado provisional de tres meses.
Si por cualquier causa nos cumpliese, y no hubiese llegado la renovación no os preocupéis, pues no harán otro a su vencimiento.
Esperar un plazo de aproximadamente unos dos meses, y posteriormente llamar a I.A para que nos confirmen si se puede pasar a recoger la renovación.
Trasporte de armas:
¿ En Tren?.
12. VIAJE CON ARMAS
12.1. Se admitirán viajeros que porten armas en los trenes, únicamente cuando cumplan los siguientes requisitos:
a/ Que se trate en todo caso de armas reglamentadas, según su definición legal
b/ Que vayan desmontadas o dentro de sus cajas o fundas.
c/ Que vayan acompañadas de las correspondientes guías, licencias y demás documentación exigida legalmente.
12.2. Cuando se trate de personal de las Fuerzas Armadas, Fuerzas y Cuerpos de Seguridad, del Servicio de Vigilancia Aduanera o de trabajadores de empresas de seguridad que realicen funciones de custodia o vigilancia, bastara la exhibición de su guía de pertenencia y su Tarjeta de Identidad Militar o, en su caso, carne profesional.
12.3. Los viajeros portadores de armas deberán en todo momento actuar con la diligencia y precaución necesarias y comportarse de forma que no puedan causar peligro, alarma, danos o molestias a los demás viajeros o sus bienes.
¿En Avión?
Ver el cuadro anexo en formato PDF.
Cartuchería Metálica:
Real Decreto 563/2010, de 7 de mayo, por el que se aprueba el Reglamento de artículos pirotécnicos y cartuchería.
Artículo 136. Adquisición de cartuchería.
1. Los titulares de licencias para armas largas rayadas podrán adquirir únicamente hasta 1.000 cartuchos anuales por arma, presentando la guía de pertenencia. El vendedor realizará los asientos correspondientes en los libros de su establecimiento y dará cuenta inmediata de la compra a la Intervención de Armas y Explosivos territorial.
En ningún caso se podrá tener en depósito un número superior a 200 cartuchos.
2. Sólo podrán adquirirse 100 cartuchos anuales por arma corta, presentando la guía de pertenencia, y efectuando las operaciones que se aluden en el apartado anterior. El número de cartuchos que pueden tenerse en depósito para arma corta no será superior a 150.
¿Como pedir un aumento del cupo de cartuchería metálica?.
El personal en posesión de licencia F podrá adquirir para su consumo un número ilimitado de cartuchos siempre que lo haga en las propias instalaciones de las Federaciones y sin que pueda sacarlos del recinto de estas. Las Federaciones adoptarán las medidas de control adecuadas para evitar que dichos cartuchos puedan salir al exterior. La autorización tendrá una validez de un año y será expedida a los Clubes o Federaciones por la Intervención Central de Armas y Explosivos de la Dirección General de la Policía y la Guardia Civil. Requisito previo para la obtención del citado permiso será tener las medidas de seguridad para el almacenamiento de la cartuchería debidamente aprobadas por la Intervención Central de Armas y Explosivos.
e) Si el particular en posesión de licencias A, B, D o F, deseara adquirir mayor cantidad de cartuchos que los cupos establecidos anteriormente, ha de estar provisto de un permiso especial expedido por la Intervención de Armas y Explosivos de la correspondiente Zona de la Guardia Civil, solicitado por conducto de la Intervención territorial, cuya validez será de un año.
f) El número máximo de cartuchos que se puede autorizar a un particular en cada autorización no podrá superar la cantidad de 10.000 del calibre 22 y 5.000 en total del resto de los calibres. Una vez justificado el consumo podrán autorizarse nuevas cantidades.
4. Podrá adquirirse un número ilimitado de cartuchos de caza no metálicos. En ningún caso podrá tenerse en depósito un número superior a 5000 unidades de esta clase de cartuchos.
Tarjeta Europea de las Armas de Fuego:
Su posesión permite transportar las armas por los Estados de la Unión Europea y tiene
una validez de cinco años.
Los documentos necesarios para su obtención son los siguientes:
1. Instancia cumplimentada por el interesado.
2. Dos fotografías.
3. Fotocopia de la Licencia de Armas.
4. Fotocopias de las guías de pertenencia de todas aquellas armas que se quieran
incluir en la Tarjeta Europea.
5. Justificante de haber realizado el ingreso de la tasa legalmente establecida, a favor
del Tesoro Público, en las entidades bancarias o cajas de ahorro colaboradoras, en
la cuenta restringida de la Administración Tributaria.
Texto: MARCHOSO
Diplomado Superior en Balística y Armamento
Última edición por marchoso el 20 Ago 2014 10:37, editado 5 veces en total.
- marchoso
- 375 HH Magnum

- Mensajes: 6135
- Registrado: 27 Dic 2008 10:01
- Ubicación: Al Andalus
- Contactar:
- Estado: Desconectado
Re: Casi todo, Sobre la Licencia " F" Formularios 2.010
Adjunto formularios PDF.
- Adjuntos
-
- Viaje con Armas .pdf
- (450.33 KiB) Descargado 1321 veces
Última edición por marchoso el 16 Abr 2014 11:11, editado 6 veces en total.
- marchoso
- 375 HH Magnum

- Mensajes: 6135
- Registrado: 27 Dic 2008 10:01
- Ubicación: Al Andalus
- Contactar:
- Estado: Desconectado
Re: Casi todo, Sobre la Licencia " F" Formularios 2.010
Cuadro de puntuaciones PDF, e intancia de tramites de I.A.
- Adjuntos
-
- Boe armas de concurso 2.pdf
- (158.86 KiB) Descargado 1160 veces
-
- Reimen Interior.pdf
- (62.12 KiB) Descargado 1220 veces
-
- Instancia castellano.pdf
- (750.97 KiB) Descargado 976 veces
Última edición por marchoso el 23 Ago 2014 07:49, editado 3 veces en total.
- marchoso
- 375 HH Magnum

- Mensajes: 6135
- Registrado: 27 Dic 2008 10:01
- Ubicación: Al Andalus
- Contactar:
- Estado: Desconectado
Re: Casi todo, Sobre la Licencia " F" Formularios 2.010
X favor; ruegon me permitan este espacio,para poder aportar documentos Pdf.
Como BOE armas de concurso.
Solicitud de aumento de cupo de cartucheria metalica.
Un saludo, y espero que os sirva estos aportes.
Como BOE armas de concurso.
Solicitud de aumento de cupo de cartucheria metalica.
Un saludo, y espero que os sirva estos aportes.
Última edición por marchoso el 23 Sep 2014 12:35, editado 1 vez en total.
Re: Casi todo, Sobre la Licencia " F" Formularios 2.010
¿Alguien podría aportar el reglamento de régimen interior de la federación de Castilla y León?
Gracias
Gracias

- marchoso
- 375 HH Magnum

- Mensajes: 6135
- Registrado: 27 Dic 2008 10:01
- Ubicación: Al Andalus
- Contactar:
- Estado: Desconectado
Re: Casi todo, Sobre la Licencia " F" Formularios 2.010
El regimen Interior lo marca la Federacion Española.
Es el mismo para todas las comunidades.
un saludo y para cualquier cosa, aqui estamos.
Es el mismo para todas las comunidades.
un saludo y para cualquier cosa, aqui estamos.
Re: Casi todo, Sobre la Licencia " F" Formularios 2.010
Hola:
La petición venía porque aquí, en mi territorial (Castilla y León), no me dejan ascender a 2º hasta no haber estado un tiempo determinado en 3ª (además de la puntuación). Unas veces me dicen que un año, otras que un año natural y otras que 6 meses. Me han dicho también que está estipulado en el reglamento de régimen interno, y como no he visto nada en el nacional he deducido que habría uno regional.
¿Alguien sabe cuánto tiempo es necesario o dónde está estipulado el plazo para ascender a 2ª... en Castilla y León?
Un saludo y gracias.
La petición venía porque aquí, en mi territorial (Castilla y León), no me dejan ascender a 2º hasta no haber estado un tiempo determinado en 3ª (además de la puntuación). Unas veces me dicen que un año, otras que un año natural y otras que 6 meses. Me han dicho también que está estipulado en el reglamento de régimen interno, y como no he visto nada en el nacional he deducido que habría uno regional.
¿Alguien sabe cuánto tiempo es necesario o dónde está estipulado el plazo para ascender a 2ª... en Castilla y León?
Un saludo y gracias.

- marchoso
- 375 HH Magnum

- Mensajes: 6135
- Registrado: 27 Dic 2008 10:01
- Ubicación: Al Andalus
- Contactar:
- Estado: Desconectado
Re: Casi todo, Sobre la Licencia " F" Formularios 2.010
Mira en el PDf, de regimen interno y lo que marca es lo que hay para todos.
un saludo.
un saludo.
- marroyol
- Guardián

- Mensajes: 35405
- Registrado: 11 Sep 2008 09:01
- Ubicación: León // Triana
- Contactar:
- Estado: Desconectado
Re: Casi todo, Sobre la Licencia " F" Formularios 2.010
Marchoso acuérdate de lo que me pasaba a mi también en la Castellano-Leonesa, ya solucionado ya estoy en segunda 
Las armas tienen solamente dos enemigos.
El óxido y los políticos.
El óxido y los políticos.
Re: Casi todo, Sobre la Licencia " F" Formularios 2.010
Yo tengo una duda acerca de la licencia F:
Para sacarmela yo me federo,apruebo el examen...etc
El año en que la apruebo y los siguientes ¿con pagar la licencia federativa (50€) es suficiente para acceder a alguna competición o tirada y asi demostrar actividad deportiva? o hay que estar pagando también todos los años al club o el campo de tiro de la federacion para poder tirar?
Para sacarmela yo me federo,apruebo el examen...etc
El año en que la apruebo y los siguientes ¿con pagar la licencia federativa (50€) es suficiente para acceder a alguna competición o tirada y asi demostrar actividad deportiva? o hay que estar pagando también todos los años al club o el campo de tiro de la federacion para poder tirar?
- marchoso
- 375 HH Magnum

- Mensajes: 6135
- Registrado: 27 Dic 2008 10:01
- Ubicación: Al Andalus
- Contactar:
- Estado: Desconectado
Re: Casi todo, Sobre la Licencia " F" Formularios 2.010
Saludos S5, una vez obtenida la licencia tipo "F".
No es necesario que pertenezcas a ningun club, en el momento que haya una tirada de ambito territorial, o autonimico dependiendo la categoria del tirador te presentas a ella, te incribes pagando la cuantia de inscripcion y ya esta.
Lo que ocurre que si no eres socio de ningun club te tendras que buscar la vida para entrenar,, o que cualquier socio te lleve de vez en cuando al suyo como invitado.
Si te recomiendo una cosa, si no perteneces a ningun club.
solicita certificado de la tirada realizada en el momento que acabe la misma en la que has participado, pues a la hora de renovar puedas aportar las tiradas,,,, suelen no encontar a los que no son socios a la hora de renovar.
Un saludo S5,, y cualquier cosa que dudes, un placer..
No es necesario que pertenezcas a ningun club, en el momento que haya una tirada de ambito territorial, o autonimico dependiendo la categoria del tirador te presentas a ella, te incribes pagando la cuantia de inscripcion y ya esta.
Lo que ocurre que si no eres socio de ningun club te tendras que buscar la vida para entrenar,, o que cualquier socio te lleve de vez en cuando al suyo como invitado.
Si te recomiendo una cosa, si no perteneces a ningun club.
solicita certificado de la tirada realizada en el momento que acabe la misma en la que has participado, pues a la hora de renovar puedas aportar las tiradas,,,, suelen no encontar a los que no son socios a la hora de renovar.
Un saludo S5,, y cualquier cosa que dudes, un placer..
Re: Casi todo, Sobre la Licencia " F" Formularios 2.010
Vale,gracias por la repuesta,para ver las tiradas autonimcas que hay (tirador de 3ª) y apuntarse me imagino que se hace en la oficina de la federación no?
- marchoso
- 375 HH Magnum

- Mensajes: 6135
- Registrado: 27 Dic 2008 10:01
- Ubicación: Al Andalus
- Contactar:
- Estado: Desconectado
Re: Casi todo, Sobre la Licencia " F" Formularios 2.010
Saludos S5, para ver las tiradas en la federacion de la comunidad autonoma a la que pertenezcas, donde expiden la tarjeta federativa que posees, sale el calendario anual publicado.
Con todas las tiradas oficiales de todos los club y las fechas.
Para inscribirte en las mismas oficinas del club, una veces el dia anterior para inscripciones y control de armas y otras veces en la misma mañana de la comppeticion.
Un saludo.
Con todas las tiradas oficiales de todos los club y las fechas.
Para inscribirte en las mismas oficinas del club, una veces el dia anterior para inscripciones y control de armas y otras veces en la misma mañana de la comppeticion.
Un saludo.
Re: Casi todo, Sobre la Licencia " F" Formularios 2.010
Una duda mas...el examen de la licencia F lo puedes hacer con arma larga y larga corta no?
Si eliges uno u otro ¿después sólo puedes participar en la modalidad de arma con la que hiciste el examen?
Y si tienes como es mi caso licencia D y E ¿te convalida algo?
Si eliges uno u otro ¿después sólo puedes participar en la modalidad de arma con la que hiciste el examen?
Y si tienes como es mi caso licencia D y E ¿te convalida algo?
- marchoso
- 375 HH Magnum

- Mensajes: 6135
- Registrado: 27 Dic 2008 10:01
- Ubicación: Al Andalus
- Contactar:
- Estado: Desconectado
Re: Casi todo, Sobre la Licencia " F" Formularios 2.010
Saludos S5, en los examanes de "F" los puedes realizar tanto con arma corta como larga.
Los usuarios que no poseen licencia de armas alguna, suelen examinarse con arma corta y al mes realizan una pequeña practica con arma larga,,, para acreditar la utilizacion, x ejemplo cuando te guias un cetme con F.
De todas maneras hay una cuestion que ignoran muchisima gente incluidos algunos guardias, te la adjunto y sacas tus propias conclusiones,,,, puedes quedar excento de realizar el examen si ya eres poseedor de licencia de armas como es tu caso,, lo que ocurre es que suele quedar a criterio de la interpretacion de la I.A a la que pertenezcas.
Aunque es un poco largo te lo adjunto, para que le eches un vistazo.
Un saludo y gracias de nuevo x la consulta.
Los usuarios que no poseen licencia de armas alguna, suelen examinarse con arma corta y al mes realizan una pequeña practica con arma larga,,, para acreditar la utilizacion, x ejemplo cuando te guias un cetme con F.
De todas maneras hay una cuestion que ignoran muchisima gente incluidos algunos guardias, te la adjunto y sacas tus propias conclusiones,,,, puedes quedar excento de realizar el examen si ya eres poseedor de licencia de armas como es tu caso,, lo que ocurre es que suele quedar a criterio de la interpretacion de la I.A a la que pertenezcas.
Aunque es un poco largo te lo adjunto, para que le eches un vistazo.
Un saludo y gracias de nuevo x la consulta.
- Adjuntos
-
- Orden de 7 de marzo de 2000 Exentos de licencia.docx
- (14.97 KiB) Descargado 1018 veces
Re: Casi todo, Sobre la Licencia " F" Formularios 2.010
Vale,pero entonces si me convalidan lo de la D y E y obtengo asi la licencia F solo podría guiar un arma larga?
- marchoso
- 375 HH Magnum

- Mensajes: 6135
- Registrado: 27 Dic 2008 10:01
- Ubicación: Al Andalus
- Contactar:
- Estado: Desconectado
Re: Casi todo, Sobre la Licencia " F" Formularios 2.010
Podras guiar un solo arma, tanto larga como corta.
Pues seras tirador de tervera categoria.
Un saludo.
Pues seras tirador de tervera categoria.
Un saludo.
Re: Casi todo, Sobre la Licencia " F" Formularios 2.010
Si eso del arma de 3ª categoria lo sé,pero como con la D y la E haces el examen con arma larga pues lo mismo para la F solo te convalidan para las modalidades de arma larga.
Hace tiempo pregunté en la IA para hacerlo al revés (de la F que te convaliden la E y la D) y me dijeron que solo si haces el examen F con arma larga...aunque no sé si es asi ya que en cada IA te dicen una cosa y no creo que aparezca con que arma lo hiciste.
P.D:Otra cosa mas:
Respecto a lo de la caja fuerte grado III,supongo que solo te la exigen en el momento en que vayas a guiar un arma con la F...¿para solicitar la licencia por primera vez imagino que no hace falta verdad? ¿y para renovarla sin tener guiada ningun arma tampoco?
Es que la idea que tengo es sacarme la F pero hacer las tiradas obligatorias con la carabina del .22 guiada con la E...que supongo que se puede no? porque sacarme la F y tener que comprar una caja fuerte pues a lo mejor es demasiado todo de golpe.
Hace tiempo pregunté en la IA para hacerlo al revés (de la F que te convaliden la E y la D) y me dijeron que solo si haces el examen F con arma larga...aunque no sé si es asi ya que en cada IA te dicen una cosa y no creo que aparezca con que arma lo hiciste.
P.D:Otra cosa mas:
Respecto a lo de la caja fuerte grado III,supongo que solo te la exigen en el momento en que vayas a guiar un arma con la F...¿para solicitar la licencia por primera vez imagino que no hace falta verdad? ¿y para renovarla sin tener guiada ningun arma tampoco?
Es que la idea que tengo es sacarme la F pero hacer las tiradas obligatorias con la carabina del .22 guiada con la E...que supongo que se puede no? porque sacarme la F y tener que comprar una caja fuerte pues a lo mejor es demasiado todo de golpe.
Volver a “Leyes y Normativa sobre armas”
¿Quién está conectado?
Usuarios navegando por este Foro: No hay usuarios registrados visitando el Foro y 114 invitados

