maxam csb 1m
- Joe_Lambretta
- .300 Win Mag

- Mensajes: 1418
- Registrado: 06 Jun 2011 17:03
- Contactar:
- Estado: Desconectado
Re: maxam csb 1m
Un dato, daos cuenta que la presión máxima acostumbraba a ser 2600 bar, y se bajó a 2300 por converger con las especificaciones SAAMI americanas, bastante más prudentes (en exceso incluso) que las europeas. De ahí que los gringos estén cargando por encima de los 4 grains de CSB 1 sin problemas y con puntas de 124.
De todas formas, tan interesante para el 9 mm como la CSB 1 es la 2, y hasta mas interesante, pues parece que es mas lenta, si usas puntas de 147 grains. Da mas velocidad con presiones menores, aunque más carga, y parece que pueda "perdonar" un poco más que la 1.
Gracias a todos por los magníficos aportes.
De todas formas, tan interesante para el 9 mm como la CSB 1 es la 2, y hasta mas interesante, pues parece que es mas lenta, si usas puntas de 147 grains. Da mas velocidad con presiones menores, aunque más carga, y parece que pueda "perdonar" un poco más que la 1.
Gracias a todos por los magníficos aportes.
Re: maxam csb 1m
Yo veo velocidades muy bajas que no dan factor ni en las tablas del fabricante, al usar esos valores en las nuestras con cañones de 5" y menos, darán menos velocidad y factor aún. En algunos de los valores recomendados por el fabricante algunas armas ni automatizaran.
En la tercera tabla del fabricante únicamente con el valor de CSB2 4,5 grains da factor, y muy justo, 125,4
La semana que viene espero recargar con esta pólvora y hacer pruebas con el crono.
Un saludo.
En la tercera tabla del fabricante únicamente con el valor de CSB2 4,5 grains da factor, y muy justo, 125,4
La semana que viene espero recargar con esta pólvora y hacer pruebas con el crono.
Un saludo.
Re: maxam csb 1m
Adjunto la "Tavole balistiche polveri maxam".
Un saludo.
Un saludo.
- Adjuntos
-
- tablasmaxamit.pdf
- (1.32 MiB) Descargado 621 veces
Re: maxam csb 1m
Joe_Lambretta escribió: ...De todas formas, tan interesante para el 9 mm como la CSB 1 es la 2, y hasta mas interesante, pues parece que es mas lenta ...
Según el fabricante lo es.
Un saludo.
- Joe_Lambretta
- .300 Win Mag

- Mensajes: 1418
- Registrado: 06 Jun 2011 17:03
- Contactar:
- Estado: Desconectado
Re: maxam csb 1m
Como dicen los compañeros y revisando las tablas, parece que hay alguna cosa que no cuadra. Lo primero que para dar factor con la CSB 1 hay que irse a cargas máximas que resulta que parecen estar en un margen de seguridad muy amplio respecto a las presiones máximas que se estilaban por europa, viendo además que los gringos las sobrepasan sin problemas pues aún no he leído que nadie reventara ninguna pistola y alguno hablaba de cargas de 5 grains.
La CSB 2 parece de vivacidad similar a la Optima A actual pero veo la misma prudencia con las cargas. A este respecto, yo con cargas suaves de Optima A (4'5-4'7 para punta de 124) me pasaba que en la 30M me salían las vainas "chimeneadas" por arriba,quizá indicando baja presión, y con cargas mas fuertes, de casi 5 grains, no. En la Shadow algo menos, calculo que por una recámara más ajustada.
También decir que no aclaran el largo del cañón pero sospecho que será de 5 " porque con 5" los gringos están sacando 1040 pies/seg con 4 grains de esta CSB 1.
A mayores, no veo datos para puntas pesadas (147) y no mola. Que hay que bajar carga por lo menos medio grain ya lo sé, pero viendo las tablas y la vivacidad creo que si puedo agenciarme CSB 2, la pillaré antes que la 1.
La CSB 2 parece de vivacidad similar a la Optima A actual pero veo la misma prudencia con las cargas. A este respecto, yo con cargas suaves de Optima A (4'5-4'7 para punta de 124) me pasaba que en la 30M me salían las vainas "chimeneadas" por arriba,quizá indicando baja presión, y con cargas mas fuertes, de casi 5 grains, no. En la Shadow algo menos, calculo que por una recámara más ajustada.
También decir que no aclaran el largo del cañón pero sospecho que será de 5 " porque con 5" los gringos están sacando 1040 pies/seg con 4 grains de esta CSB 1.
A mayores, no veo datos para puntas pesadas (147) y no mola. Que hay que bajar carga por lo menos medio grain ya lo sé, pero viendo las tablas y la vivacidad creo que si puedo agenciarme CSB 2, la pillaré antes que la 1.
- Jon_Garfio
- 375 HH Magnum

- Mensajes: 3258
- Registrado: 04 Ene 2013 07:20
- Estado: Desconectado
Re: maxam csb 1m
He recargado con CSB 1M a 3.7, 3,9 y 4.1. Todas con puntas ojivales cobreadas de 124.
El martes crono y os cuento.
Pero es la leche que las tablas marquen 3.6-4.0 y tengamos que hacer pruebas "por arriba" porque si no es posible que no den factor.
El martes crono y os cuento.
Pero es la leche que las tablas marquen 3.6-4.0 y tengamos que hacer pruebas "por arriba" porque si no es posible que no den factor.
Sapere Aude
- luis7
- 375 HH Magnum

- Mensajes: 2947
- Registrado: 24 Nov 2006 11:01
- Ubicación: Suroeste español
- Contactar:
- Estado: Desconectado
Re: maxam csb 1m
Pues yo estoy poniendo 3.8 de csb1 para punta de 130 gn y va perfecto no, lo siguiente.
NO pienso cargar con otra cosa mientras no la gaste, entonces empezare con optima a y posteriormente con la ba9.
Saludos.
NO pienso cargar con otra cosa mientras no la gaste, entonces empezare con optima a y posteriormente con la ba9.
Saludos.
Re: maxam csb 1m
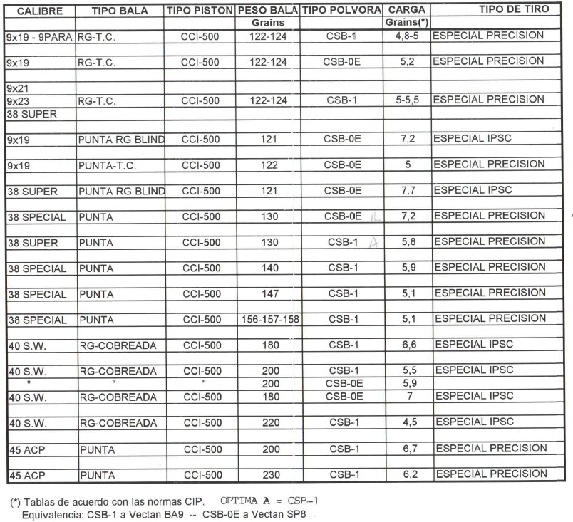
Las tablas de MAXAM se obtuvieron a partir de disparos hechos en cañones manométricos CIP de 150 milímetros (6 pulgadas) de longitud.
Un saludo.
Un saludo.
- Joe_Lambretta
- .300 Win Mag

- Mensajes: 1418
- Registrado: 06 Jun 2011 17:03
- Contactar:
- Estado: Desconectado
Re: maxam csb 1m
Yo lo que sospecho es que esta prudencia con las cargas recomendadas obedece a cuestiones legales. Quedándose bien por debajo de la presión máxima teórica según la norma SAAMI (más conservadora que la europea, recordemos) nos curamos en salud, aunque la realidad sea que se puede trabajar con cargas mayores que las máximas recomendadas y en presiones que serían las antaño máximas del 9 mm, es decir, sobre los 2600 o incluso 2700 bares. Me huelo que 4'2 de esta CSB 1 darán un factor de entre 130 y 135. A mí aún me queda un bote entero de Optima A y creo que me lo ventilaré antes de comprar nada más, pues pareciendo que es algo más lenta que esta nueva la veo mejor para el uso que le doy con las puntas pesadas que tanto me están gustando.
Y me lo creo perfectamente. Lo que no sé es si podrás comprar Optima A si esperas mucho porque creo que va a desaparecer. Lo de irte a la BA 9 casi lo veo un paso atrás. Al menos en sus últimos lotes, el resultado era bastante penoso.
luis7 escribió:Pues yo estoy poniendo 3.8 de csb1 para punta de 130 gn y va perfecto no, lo siguiente.
NO pienso cargar con otra cosa mientras no la gaste, entonces empezare con optima a y posteriormente con la ba9.
Saludos.
Y me lo creo perfectamente. Lo que no sé es si podrás comprar Optima A si esperas mucho porque creo que va a desaparecer. Lo de irte a la BA 9 casi lo veo un paso atrás. Al menos en sus últimos lotes, el resultado era bastante penoso.
- Joe_Lambretta
- .300 Win Mag

- Mensajes: 1418
- Registrado: 06 Jun 2011 17:03
- Contactar:
- Estado: Desconectado
Re: maxam csb 1m
A ver, otra cosa que me ha mosqueado seriamente. Nunca he usado para recargar otra cosa que no fueran puntas cobreadas y mis datos y cargas para esas balas son, pero si no estoy equivocado, cuando recargas con cobreadas necesitas mas carga que cuando usas plomo y si usas encamisadas necesitas más carga que cuando usas cobreadas. Pues en las tablas éstas, es al revés.
Re: maxam csb 1m
Uno de los más conocidos fabricantes de puntas cobreadas en los Estados Unidos es Berry's, que en la sección de preguntas frecuentes de su web apunta una respuesta a eso. Así, Berry's recomienda usar con sus puntas cobreadas cargas previstas para las fundidas en aleación de plomo, puesto que ambas tienen una misma curva de presión. Sin embargo, advierte de que si empleamos sus puntas cobreadas con cargas previstas para puntas blindadas obtendremos un incremento de velocidad sobre las de éstas de entre el 5% y el 8%.
Quienes confeccionaron las tablas de MAXAM se marcaron como objetivo no rebasar el 95% de la presión máxima. En el caso del 9P, con las tres balas empleadas, aleación de plomo, cobreada y encamisada, como suele ser norma general se llega a la presión límite con mayor a menor carga por ese orden, debido sin duda a que las balas de plomo y cobreadas son más blandas que las encamisadas, y obtenemos finalmente con aquéllas mayor velocidad.
Por supuesto que si en este caso quisieramos igualar con la misma pólvora la velocidad de las puntas encamisadas tendríamos que subir la carga, lo cual nos conduce indefectiblemente a rebasar la presión máxima marcada y a entrar en terreno más o menos peligroso, dependiendo de la profundidad de la incursión.
Incluyo el enlace a las FAQ,s de Berry's:
https://www.berrysmfg.com/faq-q21-c1-Lo ... llets.aspx" onclick="window.open(this.href);return false;
Quienes confeccionaron las tablas de MAXAM se marcaron como objetivo no rebasar el 95% de la presión máxima. En el caso del 9P, con las tres balas empleadas, aleación de plomo, cobreada y encamisada, como suele ser norma general se llega a la presión límite con mayor a menor carga por ese orden, debido sin duda a que las balas de plomo y cobreadas son más blandas que las encamisadas, y obtenemos finalmente con aquéllas mayor velocidad.
Por supuesto que si en este caso quisieramos igualar con la misma pólvora la velocidad de las puntas encamisadas tendríamos que subir la carga, lo cual nos conduce indefectiblemente a rebasar la presión máxima marcada y a entrar en terreno más o menos peligroso, dependiendo de la profundidad de la incursión.
Incluyo el enlace a las FAQ,s de Berry's:
https://www.berrysmfg.com/faq-q21-c1-Lo ... llets.aspx" onclick="window.open(this.href);return false;
Re: maxam csb 1m
Joe_Lambretta escribió:A ver, otra cosa que me ha mosqueado seriamente. Nunca he usado para recargar otra cosa que no fueran puntas cobreadas y mis datos y cargas para esas balas son, pero si no estoy equivocado, cuando recargas con cobreadas necesitas mas carga que cuando usas plomo y si usas encamisadas necesitas más carga que cuando usas cobreadas. Pues en las tablas éstas, es al revés.
Como muy bien ha explicado baladel, las tablas están hechas pensando en no sobrepasar los límites de presión, el primer valor de carga para un 75% y el segundo para un 95%.
Nosotros cuando recargamos buscamos, además de la seguridad que debe ser siempre una constante en la recarga, buscamos también precisión, agrupación, regularidad y factor. Los valores de presión con los que hemos recargado hasta ahora en muchos casos probablemente estén por encima de estas presiones, lo digo por las velocidades que obtenemos con puntas similares de 124 grs. Por este motivo cuando recargamos con puntas de plomo metemos menos carga ya que una carga elevada con estas puntas puede hacer que la parte exterior del proyectil se funda y emplome el cañón, entre otros efectos, con lo que vamos a conseguir menor agrupación. Es al menos una de las razones que pueden justificar menos carga con puntas de plomo. También creo recordar que casi todas las tablas dan menos carga para estas puntas.
Si con 4,7 grains de Optima A, en mi Walther P99cAS, tenía problemas de automatización y en algunos casos no me daba factor tengo ganas de probar estas cargas en ella.
Joe_Lambretta escribió:Un dato, daos cuenta que la presión máxima acostumbraba a ser 2600 bar, y se bajó a 2300 por converger con las especificaciones SAAMI americanas, bastante más prudentes (en exceso incluso) que las europeas.
Las velocidades que dan estas tablas están muy por debajo de las de la munición comercial, por lo que supongo que esta dará presiones por encima de los 2.300 bares.
¿Nos van a "capar" la munición comercial?.
Un saludo.
Última edición por Miguel59 el 04 Abr 2015 02:57, editado 3 veces en total.
Re: maxam csb 1m
Como la reproducción por parte de SAAMI esta prohibida pongo el enlace.
https://www.saami.org/specifications_and ... reData.pdf
35000 psi = 2413 bar
Un saludo.
https://www.saami.org/specifications_and ... reData.pdf
35000 psi = 2413 bar
Un saludo.
Re: maxam csb 1m
Pongo también el enlace a CIP, "Commission Internationale Permanente pour l'Épreuve des armes à feu".
Pmax=2350 bar.
https://www.cip-bobp.org/homologation/up ... page28.pdf
un saludo.
Pmax=2350 bar.
https://www.cip-bobp.org/homologation/up ... page28.pdf
un saludo.
- luis7
- 375 HH Magnum

- Mensajes: 2947
- Registrado: 24 Nov 2006 11:01
- Ubicación: Suroeste español
- Contactar:
- Estado: Desconectado
Re: maxam csb 1m
luis7 escribió:Pues yo estoy poniendo 3.8 de csb1 para punta de 130 gn y va perfecto no, lo siguiente.
NO pienso cargar con otra cosa mientras no la gaste, entonces empezare con optima a y posteriormente con la ba9.
Saludos.
Y me lo creo perfectamente. Lo que no sé es si podrás comprar Optima A si esperas mucho porque creo que va a desaparecer. Lo de irte a la BA 9 casi lo veo un paso atrás. Al menos en sus últimos lotes, el resultado era bastante penoso.[/quote]
Alguna cantidad hay por ahi y es accesible.
En un primer momento (hace al menos 6 años) empece cargando con 4.5 gn de csb1 tal cual cargaba con optima A y no tuve problema ninguno pero era un tiro fuerte y preciso que para nada tenia sentido, empece a rebajar hasta los 3.7-3.8 que he mencionado y ahi me quede. Con la ba9 he estado probando entre 4.1 y 4.3 y creo que por ahi esta el sitio para un peso de unos 130 gn de punta de plono.
Con la csb 1 la agrupación es muy buena ( con las otras practicamente igual) ahora bien estoy tirando con puntas recalbradas a .357 de cosecha propia en la sw 952.
Tambien tengo que decir que con esos 3.8 gn tiro desde 115 gn hasta los mencionados 130 gn, sin diferencias apreciables en agrupación usando tanto swc, rn como tc y en plomo o cobreadas (.356). Las puntas de 115 gn en la fase de tiro rapido son mejores ya que el arma se descontrola menos de tiro a tiro. Para precisión puntas mas pesadas de 130 gn swc.
- Joe_Lambretta
- .300 Win Mag

- Mensajes: 1418
- Registrado: 06 Jun 2011 17:03
- Contactar:
- Estado: Desconectado
Re: maxam csb 1m
Miguel59 escribió:Como muy bien ha explicado baladel, las tablas están hechas pensando en no sobrepasar los límites de presión, el primer valor de carga para un 75% y el segundo para un 95%.
Nosotros cuando recargamos buscamos, además de la seguridad que debe ser siempre una constante en la recarga, buscamos también precisión, agrupación, regularidad y factor. Los valores de presión con los que hemos recargado hasta ahora en muchos casos probablemente estén por encima de estas presiones, lo digo por las velocidades que obtenemos con puntas similares de 124 grs. Por este motivo cuando recargamos con puntas de plomo metemos menos carga ya que una carga elevada con estas puntas puede hacer que la parte exterior del proyectil se funda y emplome el cañón, entre otros efectos, con lo que vamos a conseguir menor agrupación. Es al menos una de las razones que pueden justificar menos carga con puntas de plomo. También creo recordar que casi todas las tablas dan menos carga para estas puntas.
Si con 4,7 grains de Optima A, en mi Walther P99cAS, tenía problemas de automatización y en algunos casos no me daba factor tengo ganas de probar estas cargas en ella.Joe_Lambretta escribió:Un dato, daos cuenta que la presión máxima acostumbraba a ser 2600 bar, y se bajó a 2300 por converger con las especificaciones SAAMI americanas, bastante más prudentes (en exceso incluso) que las europeas.
Las velocidades que dan estas tablas están muy por debajo de las de la munición comercial, por lo que supongo que esta dará presiones por encima de los 2.300 bares.
¿Nos van a "capar" la munición comercial?.
Un saludo.
Empezando por el final, la munición americana siempre suele ser más suave que la europea, sea en el calibre que sea. De hecho, la Remington que se usa por aquí más o menos regularmente es más suave que la Fiocchi, por ejemplo. No quiere decir que trabaje a más presión, porque desmontando algún cartucho de estos, lo que he visto es que traen más carga de pólvora las europeas, aunque se supone que serán pólvoras más lentas con lo cual las presiones pueden ser equivalentes.
Saber en que rangos de presiones nos movemos los recargadores, por lo menos aquí en España, es casi ciencia ficción pues no tenemos los medios para comprobarlo, y lo más cerca que podemos haber estado es ahora, con estas tablas que ha sacado Maxam donde hay datos de presión, correspondientes a cañones de 6 " como apunta un compañero más arriba. Podemos ir sacando alguna conclusión al observar las vainas, pues si como yo tienes vainas chimeneadas dependiendo de la carga y arma puedes deducir que de sobrepresión... poco. Si por el contrario salen sin chimenear y observas una combustión aceptablemente limpia y pistones sin aplanar, puedes deducir que estás en presiones aceptables.
Lo que sí parece claro es que se han bajado estos límites por cuestiones a mi entender "legales", porque si el máximo teórico acostumbraba a ser de 2600, bajarlo a 2350 para la munición comercial o las recargas, mientras que la munición especificación OTAN que gastamos algunos de dotación sabemos a ciencia cierta que entra (de puntillas, pero entra) en el terreno de lo que se conoce como "+P" a día de hoy, que se correspondería con los 2600 bares referidos antes.
Conclusión, sobre esto, es que si recargamos buscando dar el factor requerido, y lo hacemos buscando factor de 130-135, parece que estaríamos en terreno seguro. Si buscamos más "caña" igual ya necesitamos pólvoras más lentas... que no tenemos.
- Jon_Garfio
- 375 HH Magnum

- Mensajes: 3258
- Registrado: 04 Ene 2013 07:20
- Estado: Desconectado
Re: maxam csb 1m
Osea que si queremos factor, nos tocará irnos por encima de las cargas máximas de tabla de Maxxam....no?
Sapere Aude
¿Quién está conectado?
Usuarios navegando por este Foro: No hay usuarios registrados visitando el Foro y 94 invitados


